Erwerb der deutschen Staatsangehörigkeit durch Einbürgerung
Sie sind ausländischer Staatsangehöriger oder staatenlos und haben Ihren rechtmäßigen und gewöhnlichen Aufenthalt schon seit mehreren Jahren in Deutschland? Dann können Sie sich hier über die Grundvoraussetzungen für die Einbürgerung informieren.
Voraussetzungen
- Geklärte Identität und Staatsangehörigkeit
- Rechtmäßiger und gewöhnlicher Aufenthalt in Deutschland seit mindestens 5 Jahren
- unbefristeter Aufenthaltstitel oder Aufenthaltserlaubnis für bestimmte Aufenthaltszwecke oder Staatsangehöriger der Schweiz bzw. eines EU-Staates und dessen Familienangehöriger eine Aufenthaltserlaubnis nach den bestehenden Abkommen der Freizügigkeit besitzen
- Abgabe eines Bekenntnisses zur freiheitlich demokratischen Grundordnung
- Ausreichende Sprachkenntnisse in Wort und Schrift
- Kenntnisse der Rechts- und Gesellschaftsordnung
- Sicherung des Lebensunterhalts für sich und die unterhaltsberechtigten Familienangehörigen
- Straffreiheit
Allgemeine Hinweise:
Genauere Auskünfte erhalten Sie in der Staatsangehörigkeitsbehörde Cottbus/ Chóśebuz.
Rechtsgrundlagen
Gesetz zur Modernisierung des Staatsangehörigkeitsrechts (StARModG)
Veröffentlichungsdatum: 26.03.2024
Gebühren
255,00 € pro Erwachsener, 51,00 € pro mit einzubürgerndes Kind
Verfügbare Formulare/ Dokumente:
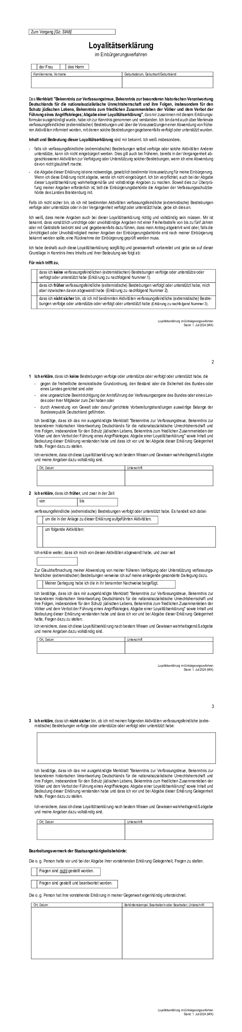
Loyalitätserklärung im Einbürgerungsverfahren
Bekenntnis zum Grundgesetz
Übersetzungen des Bekenntnisses zum Grundgesetz und der Loyalitätserklärung
Checkliste: Notwendige Unterlagen für die Beantragung der Einbürgerung
Antragsformular: Einbürgerungsantrag
Antragsformular: Einbürgerungsantrag für ein Kind
Merkblatt zum Bekenntnis zur Verfassungstreue
Merkblatt ausreichende Deutschkenntnisse
Weitere Hinweise zu den Einbürgerungsbedingungen
Merkblatt zu den Mitteilungspflichten
Aufenthaltszeiten gemäß Freizügigkeitsgesetz EU
Information Datenschutz
Erläuterung der Voraussetzungen
1. Geklärte Identität und Staatsangehörigkeit
Ihre Identität und Staatsangehörigkeit kann mit einem gültigen Nationalpasses oder – als EU-Bürger*in – einem gültigen Personalausweis geklärt werden. In bestimmten Ausnahmefällen kann die Identität und Staatsangehörigkeit auch mit einem anderen amtlichen ausländischen Dokument nachgewiesen werden.
2. Rechtmäßiger und gewöhnlicher Aufenthalt in Deutschland seit mindestens 5 Jahren
Rechtmäßig ist die Zeit des Aufenthalts in Deutschland nur, wenn Sie für diese Zeiten im Besitz einer Aufenthaltserlaubnis, Niederlassungserlaubnis oder Blauen Karte sind. Davon befreit sind Staatsangehörige der Staaten der Europäischen Union, der Schweiz, Island, Norwegen und Liechtenstein. Diese dürfen sich rechtmäßig auch ohne Aufenthaltserlaubnis in Deutschland aufhalten. Für anerkannte Flüchtlinge und Asylberechtigte zählen auch die Zeiten der vorhergehenden Aufenthaltsgestattung.
Kein rechtmäßiger Aufenthalt sind die Zeiten mit Besitz einer Duldung oder im Besitz einer Gestattung im Falle eines negativen Ausgangs eines Asylverfahrens.
Sollten Sie sich unsicher sein, nutzen Sie unsere telefonische Beratungssprechstunde jeden Montag zwischen 9-12 Uhr unter der Telefonnummer 0355-6123380.
Bei Vorliegen besonderer Integrationsleistungen wie ein Sprachzertifikat C1 Niveau oder besonderer schulischer oder beruflicher Leistungen sowie ehrenamtliches Engagement kann die Frist auf drei Jahre verkürzt werden.
3. unbefristeter Aufenthaltstitel oder Aufenthaltserlaubnis für bestimmte Aufenthaltszwecke oder Staatsangehöriger der Schweiz bzw. eines EU-Staates und dessen Familienangehöriger eine Aufenthaltserlaubnis nach den bestehenden Abkommen der Freizügigkeit besitzen
Sie besitzen ein unbefristetes Aufenthaltsrecht (Niederlassungserlaubnis) oder als Staatsangehöriger der Schweiz oder dessen Familienangehöriger eine Aufenthaltserlaubnis auf Grund des Abkommens vom 21.Juni 1999 zwischen der Europäischen Gemeinschaft und ihren Mitgliedstaaten einerseits und der Schweizerischen Eidgenossenschaft andererseits über die Freizügigkeit, eine Blaue Karte EU oder eine Aufenthaltserlaubnis für andere als die in den §§ 16a, 16b, 16d, 16e, 16f, 17, 18f, 19, 19b, 19e, 22, 23a, 24, 25 Absatz 3 bis 5 des Aufenthaltsgesetzes genannten Aufenthaltszwecke.
4. Abgabe eines Bekenntnisses zur freiheitlich demokratischen Grundordnung
Die freiheitliche demokratische Grundordnung ist der Kern der deutschen Verfassung, des Grundgesetzes für die Bundesrepublik Deutschland. Zu ihr gehören insbesondere die Wahrung der Menschenrechte, das Prinzip der Volkssouveränität („Alle Staatsgewalt geht vom Volke aus“), das Rechtsstaatsprinzip und die Unabhängigkeit der Gerichte.
Für die Einbürgerung müssen Sie die sogenannte Loyalitätserklärung abgeben. Damit bekennen Sie sich zur freiheitlichen demokratischen Grundordnung und erklären gleichzeitig, keine verfassungsfeindlichen Bestrebungen zu verfolgen oder zu unterstützen.
Vor einer Aushändigung der Einbürgerungsurkunde müssen Sie außerdem ein feierliches Bekenntnis abgeben.
- Loyalitätserklärung im Einbürgerungsverfahren ‧ PDF ‧ 117.06 KByte ‧ 08.07.2024
- Bekenntnis zum Grundgesetz ‧ PDF ‧ 159.42 KByte ‧ 02.07.2024
5. Ausreichende Sprachkenntnisse in Wort und Schrift
Ausreichende Kenntnisse der deutschen Sprache haben Sie, wenn Sie die Anforderungen der Sprachprüfung zum Zertifikat „Deutsch” in mündlicher und schriftlicher Form erfüllen. Das ist das sogenannte „Niveau B 1” des Gemeinsamen Europäischen Referenzrahmens für Sprachen.
Ein Sprachzertifikat erhalten Sie bei jedem anerkannten Sprachprüfungszentrum. Bei Fragen hierzu wenden Sie sich bitte an Ihre Staatsangehörigkeitsbehörde in Cottbus/ Chóśebuz.
Deutschkenntnisse können zudem über einen deutschen Bildungsabschluss, d.h. einen schulischen Abschluss, den Abschluss eines deutschsprachigen Studiums an einer deutschen Hochschule oder einen beruflichen Abschluss nachgewiesen werden. Zum Nachweis des Abschlusses müssen Sie das entsprechende Abschluss-/Prüfungszeugnis vorlegen. Auch der Deutsch-Test für Zuwanderer mit dem Gesamtergebnis B1 im Rahmen des Integrationskurses kann ein Nachweis der Sprachkenntnisse sein.
Personen, der ehemaligen Gastarbeitergeneration sowie deren im zeitlichen Zusammenhang nachgezogenen Ehegatten sind nicht verpflichtet, ein Sprachzertifikat oder Einbürgerungstest vorzulegen. Diese Personengruppe muss sich lediglich mündlich im Alltag in deutscher Sprache verständigen können.
6. Kenntnisse der Rechts- und Gesellschaftsordnung
Sie verfügen über Kenntnisse der deutschen Rechts- und Gesellschaftsordnung und Lebensverhältnisse in Deutschland.
Die Anforderungen sind nicht hoch. Es genügt, wenn Sie einfache Fragen zur deutschen Rechtsordnung sowie zur deutschen Kultur und Geschichte beantworten können. Dazu findet ein Einbürgerungstest statt. Die Kenntnisse werden auch durch den Test Leben in Deutschland im Rahmen eines Integrationskurses nachgewiesen, wenn 17 der 33 Fragen richtig beantwortet wurden.
Ein Einbürgerungstest ist nicht unbedingt nötig, wenn Sie die Kenntnisse durch einen Abschluss einer deutschen allgemeinbildenden Schule nachweisen können. Das kann ein Hauptschulabschluss oder ein höherwertiger Abschluss sein.
Informationen des Bundesamts für Migration und Flüchtlinge (BAMF) zum Thema:
Informationen des Bundesamts für Migration und Flüchtlinge (BAMF) zum Thema:
7. Sicherung des Lebensunterhalts für sich und die unterhaltsberechtigten Familienangehörigen
Sie können Ihren Lebensunterhalt selbständig sichern.
Eine Einbürgerung ist grundsätzlich möglich, sofern Sie keine Leistungen nach dem zweiten Buch und/oder zwölften Buch Sozialgesetzbuch beziehen (z.B. Sozialhilfe, Grundsicherung, „Hartz IV“).
Der Bezug dieser Leistungen ist unschädlich, wenn Sie die Inanspruchnahme nicht zu vertreten haben.
Die genaue Prüfung erfolgt im Rahmen des Einbürgerungsantrags und berücksichtigt Faktoren wie Ihren Lohn, Ihre Einkünfte aus selbstständiger Tätigkeit, die Anzahl von Personen, denen Sie unterhaltspflichtig sind (z.B. Kinder) oder Ihre Wohnsituation. Einkünfte und Ausgaben müssen im Einbürgerungsverfahren nachgewiesen werden (z.B. über Lohnabrechnungen, Einkommenssteuerbescheide…).
8. Straffreiheit
Eine Einbürgerung ist ausgeschlossen, wenn Sie wegen einer rechtswidrigen Tat zu einer Geld- oder Freiheitsstrafe verurteilt wurden, sofern diese nicht gemäß § 12a Staatsangehörigkeitsgesetz außer Betracht bleibt (z.B. Geldstrafen bis zu 90 Tagessätzen).